我校科研团队在可再生能源多能互补利用研究方面取得新进展

发布者:李婉婷发布时间:2023-08-04来源:能电院、新能源学院

近日,河海大学能源与电气学院、新能源学院郭苏教授团队在可再生能源多能互补利用研究方面取得新进展,该团队系统性总结了离网型可再生能源多能互补系统优化规划方面的最新学术研究进展,并基于文献计量学方法揭示了该领域全方位的技术路线及主流研究趋势,有利于推动该领域的科研进展及工程实践。

以风电、光伏发电为代表的可再生能源发电系统受气候条件的影响,风电、光伏出力的间歇性导致了供需侧不平衡,因此具备削峰填谷功能的储能技术成为了高比例可再生能源发展的关键所在。郭苏教授团队针对主流蓄电池储能价格昂贵且运行寿命短的缺点,提出了基于电加热器-熔盐储热-汽轮机组的新型储能系统,并开展了基于熔盐热储能、抽水蓄能、蓄电池、氢储能等主流储能技术的可再生能源多能互补系统的容量配置优化及技术经济性评价研究,通过不同资源/负荷条件下的案例分析验证了熔盐热储能的技术可行性及经济成本优越性(该成果已发表于Energy Conversion and Management,2021,229:113779)。

图1 含不同储能技术的可再生能源多能互补发电系统仿真运行

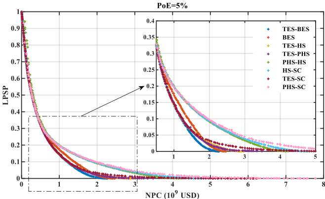
针对单一储能无法满足可再生能源发电系统不同净负荷工况下调节需求的技术难题,提出了考虑多种储能形式优势互补的联合储能系统,并基于概率性评价指标对比分析了不同联合储能系统在多能互补发电系统中的经济效益,验证了联合储能系统的必要性及性能优越性(该成果已发表于Applied Energy,2022,328:120225)。

图2 含不同联合储能的可再生能源多能互补发电系统技术经济性比较

针对未来100%可再生能源电力系统的可行性设想以及国家层面的整体能源结构转型企划,由点到面地进一步研究了中国省级多区域风电、光伏平价上网的潜力评估,以及可再生能源多能互补发电系统承担基荷的技术经济可行性,研究发现100%可再生能源系统是技术可行的,但储能技术的高投资成本以及大量弃电损失是实现100%可再生能源供电系统的主要障碍(该成果已发表于Energy Conversion and Management,2022,268:116037)。

图3 中国省级可再生能源多能互补系统经济可行性分析

可再生能源系统规划设计通常从项目投资者角度考虑建成后的系统运行调度对规划设计的反馈,但少有研究从政府决策者角度考虑能源政策层面与规划设计的影响机理。为促进离网地区的可再生能源低碳化供电,从政府角度提出了一种碳减排补贴政策促进可再生能源发电技术部署,并研究了能源政策与电力系统规划设计的相互影响机理与协同优化问题,结果表明所提出碳减排补贴政策可提高可再生能源供电比例至99.23%,并有效减少80.7%的碳排放(该成果已发表于Energy,2023,262:125454)。

图4 低碳能源政策与可再生能源系统规划设计的影响机理

为促进火电清洁生产,我国各部门纷纷出台了一系列政策推动火电机组改造,如2022年国家发展改革委员会发布的《关于进一步提升煤电能效和灵活性标准的通知》。为响应国家政策导向,针对现有大容量火电机组的可持续型脱碳转型问题,提出了基于多能互补系统结构及灵活性弃电制氢思路的火电机组改造方案,并比较分析全国省级不同边界条件下的可再生能源改造方案与常规碳捕集与封存改造方案的经济效益,结果验证了所提出方案的技术经济可行性。该成果已发表于权威期刊Energy Conversion and Management2023290117232)。

图5 不同燃煤火电机组脱碳方案的经济可行性对比分析

以上研究成果从能源政策、规划设计、运行调度等方面为可再生能源多能互补发电系统在不同场景下的实际应用奠定了理论基础,阐明了可再生能源技术的未来发展方向、从点到面地探索了可再生能源逐步有序替代化石能源的能源结构转型路径,从而助力实现碳达峰碳中和。以上研究工作得到了国家重点研发计划课题、国家自然科学基金、江苏省自然科学基金、江苏省科技计划“港澳台科技合作”专项等项目支持,并成功应用于海西州多能互补集成优化示范工程等。

此次研究成果以“A state-of-the-art review and bibliometric analysis on the sizing optimization of off-grid hybrid renewable energy systems”为题发表于能源领域权威期刊《Renewable and Sustainable Energy Reviews》(IF:15.9,中科院一区TOP期刊),论文第一作者为博士研究生何意,通讯作者为郭苏教授。

 

近三年发表的部分相关文章:

[1]        Y. He, S. Guo*, P. Dong, Y. Zhang, J. Huang, J. Zhou. A state-of-the-art review and bibliometric analysis on the sizing optimization of off-grid hybrid renewable energy systems. Renewable and Sustainable Energy Reviews, 2023; 183:113476. DOI: 10.1016/j.rser.2023.113476

[2]        Su Guo*, Kun Zheng, Yi He, Aynur Kurban. The artificial intelligence-assisted short-term optimal scheduling of cascade hydro-photovoltaic complementary system with hybrid time steps. Renewable Energy, 2023, 202: 1169-1189. DOI: 10.1016/j.renene.2022.11.120

[3]        Su Guo*, Wenjia Ji, Chen Wang, Tianze Song, Jiale Wang. Hydraulic-thermal coupling dynamic models based on mechanism and data-driven methods of the heating networks in integrated energy systems. Energy Conversion and Management, 2023; 292:117353. DOI: 10.1016/j.enconman.2023.117353

[4]        Chen Wang, Su Guo*, Huanjin Pei, Yi He, Deyou Liu, Mengying Li. Rolling Optimization based on holism for the operation strategy of solar tower power plant. Applied Energy, 2023, 331:120473. DOI: 10.1016/j.apenergy.2022.120473

[5]        Y. He, S. Guo*, P. Dong, J. Huang, J. Zhou. Hierarchical optimization of policy and design for standalone hybrid power systems considering lifecycle carbon reduction subsidy. Energy, 2023; 262: 125454. DOI: 10.1016/j.energy.2022.125454

[6]        Y. He, S. Guo*, P. Dong, D. Lyu, J. Zhou. Feasibility analysis of decarbonizing coal-fired power plants with 100% renewable energy and flexible green hydrogen production. Energy Conversion and Management, 2023; 290:117232. DOI: 10.1016/j.enconman.2023.117232

[7]        Y. He, S. Guo*, P. Dong, C. Wang, J. Huang, J. Zhou. Techno-economic comparison of different hybrid energy storage systems for off-grid renewable energy applications based on a novel probabilistic reliability index. Applied Energy, 2022; 328: 120225. DOI: 10.1016/j.apenergy.2022.120225

[8]        Su Guo*, Guotao Song, Mengying Li, Xiaohui Zhao, Yi He, Ainur Kurban, Wenjia J, Jiale Wang. Multi-objective bi-level quantity regulation scheduling method for electric-thermal integrated energy system considering thermal and hydraulic transient characteristics. Energy Conversion and Management, 2022, 253: 115147. DOI: 10.1016/j.enconman.2021.115147

[9]        Y. He, S. Guo*, J. Zhou, G. Song, A. Kurban, H. Wang. The multi-stage framework for optimal sizing and operation of hybrid electrical-thermal energy storage system. Energy, 2022; 245: 123248. DOI: 10.1016/j.energy.2022.123248

[10]       Y. He, S. Guo*, J. Zhou, J. Wang, W. Ji, T. Song. Province-level techno-economic feasibility analysis of baseload supply from hybrid renewable energy systems in China. Energy Conversion and Management, 2022; 268:116037. DOI: 10.1016/j.enconman.2022.116037

[11]       Y. He, S. Guo*, J. Zhou, J. Ye, J. Huang, K. Zheng, X. Du. Multi-objective planning-operation co-optimization of renewable energy system with hybrid energy storages. Renewable Energy, 2022; 184: 776-790. DOI: 10.1016/j.renene.2021.11.116

[12]       Y. He, S. Guo*, J. Zhou, F. Wu, J. Huang, H. Pei. The quantitative techno-economic comparisons and multi-objective capacity optimization of wind-photovoltaic hybrid power system considering different energy storage technologies. Energy Conversion and Management, 2021; 229:113779. DOI: 10.1016/j.enconman.2020.113779

[13]       Y. He, S. Guo*, J. Zhou, F. Wu, J. Huang, H. Pei. The many-objective optimal design of renewable energy cogeneration system.Energy, 2021; 234: 121244. DOI: 10.1016/j.energy.2021.121244