近日,海岸灾害及防护教育部重点实验室、港航学院孔俊教授指导硕士研究生丁宇楠在《Journal of Hydrology》上发表了题为“On the use of modified Boussinesq equation for studying double-layered Hillslope Recession Characteristics”的学术论文。该研究是继孔俊教授2016年提出的Kong-HSB (Hillslope Boussinesq)理论的又一新突破。
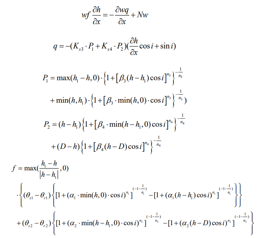
近年来,孔俊教授团队持续开展边坡水文、水力学相关理论和应用研究,陆续提出了具有可积可导性质的新型土壤特征函数,推求出降雨入渗湿润峰压力和土壤特征长度的解析表达式;明确边坡排水过程的不同阶段:指出边坡排水前期和中期饱和流和非饱和流共同排水,后期非饱和流持续排水的特征,以解析形式表征非饱和流的排水强度,阐明了非饱和流在边坡排水过程中的重要贡献;首次提出退水过程曲线存在3段模式,而不是传统理论的2段模式,从动力学角度分析了传统理论误判排水过程曲线出现突变的原因;进一步纠正了以往对边坡无流边界的处理方法,定量阐述了在边界处非饱和区侧向流量的潜在贡献。

(1)适用于单层土边坡

(2)适用于双层土边坡
图1 针对边坡水文过程考虑非饱和流的Kong-HSB模型

(a)前期和中期饱和区主导排水 (b)后期非饱和区持续排水
图2 不同阶段的排水特征

图3 边坡退水曲线和实测值比较

图4 边坡排水三阶段过程及对应的边坡内水分饱和度分布
针对边坡稳定性问题,基于Kong-HSB理论,课题组定量分析了坡顶和坡底边界水位变化时,侧向流对滑坡风险的影响。研究结果表明,当坡顶水位抬升时,对于坡度适中的壤土边坡,侧向非饱和流会诱发滑坡提早发生,特别是当上坡边界水位抬升较快(如坡顶出现雨后积水等情况、人为蓄水)时,侧向非饱和流对边坡失稳的影响更大,进一步完善了对突发性滑坡风险潜在影响因素的认识。

图5 不同HSB模型预测的边坡稳定性指标FS随时间变化及相应的失稳时间
基于Boussinesq方程的退水分析已广泛应用于山坡含水层水力参数的估算。然而,以往的研究主要集中在均质山坡含水层上,研究表明退水曲线满足幂律关系,有2个过渡点和3个幂律状态(b1、b2和b3)。由于均质山坡b的变化趋势不一致甚至相反,因此有必要研究双层山坡含水层退水曲线的规律。本文提出了一种适用于双层山坡含水层的改进的Boussinesq方程。通过室内试验和数值模拟的验证,利用改进的Kong-HSB方程对双层边坡含水层的退水特性进行了检验。结果表明,双层边坡含水层的退水曲线也遵循三次幂律规律。但b值的变化比均质山坡更为复杂。具体来说,对于均质山坡,b值随坡角单调变化,而对于双层山坡,b值则非单调变化,这取决于土壤结构,如下层土壤厚度。这些结果对确定山坡的水力参数具有重要意义。该理论模型的构建,也为下一步开展复杂土层边坡抗滑稳定性分析、防灾预警提供了支撑。(港航院)

图6 不同坡角的双层土边坡的退水曲线
(a1-a5是下粘上砂边坡,b1-b5是下砂上粘边坡)
基于Kong-HSB理论发表的系列论文:
(1)Kong, J., Shen C., Luo Z., Hua G., and Zhao H. (2016). Improvement of the hillslope-storage Boussinesq model by considering lateral flow in the unsaturated zone, Water Resources Research, 52, 2965–2984. https://doi.org/10.1002/2015WR018054
(2)Luo, Z., Shen, C., Kong, J., Hua, G., Gao, X., Zhao, Z., et al. (2018). Effects of unsaturated flow on hillslope recession characteristics. Water Resources Research, 54, 2037-2056.
https://doi.org/10.1002/2017WR022257
(3)Kong, J., Sun, J., Luo, Z., Shen, C., Hua, G., & Lu, C. (2019). Comment on “appropriate boundary condition for Dupuit‐Boussinesq theory on the steady groundwater flow in an unconfined sloping aquifer with uniform recharge” by Wu et al. Water Resources Research, 55, 3593–3596. https://doi.org/10.1029/2018WR024665
(4)Luo, Z., Kong J, Shen, C., Lu, C., Hua, G., & Zhao, Z., et al. (2019). Evaluation and application of the modified van Genuchten function for unsaturated porous media. Journal of Hydrology, 571, 279-287. https://doi.org/10.1016/j.jhydrol.2019.01.051
(5)Shen, C., Sun, J., Zhang, X., Luo, Z., & Lu, C. (2020). Study on the role of lateral unsaturated flow in triggering slope failure under varying boundary water level conditions. Advances in Water Resources, 143, 103669. https://doi.org/10.1016/j.advwatres.2020.103669
(6)Ding, Y., Kong J, Zhang J., Luo, Z., Shen, C., et al (2021). On the use of modified Boussinesq equation for studying double-layered hillslope recession characteristics. Journal of Hydrology, 603, 12704. https://doi.org/10.1016/j.jhydrol.2021.127041